Рекомендации по сборке фрез AS290 "Русский Инструмент"
Содержание
Дисковые фрезы серии AS290 "Русский Инструмент" имеют систему регулировки ширины фрезерования. Предназначены для прорезки пазов, обработки уступов и плоскостей. Одной фрезой можно обрабатывать группы деталей с различной шириной фрезерования, точность регулирования позволяет получить паз с точностью ±0,025 мм. Рекомендовано применять как на универсальных станках, так и станках с ЧПУ.
По умолчанию фрезы настроены на произвольный размер из диапазона ширины фрезерования. Если необходима настройка на конкретный размер, сообщите это при заказе. Повторная настройка фрезы необходима в случае нарушения базовой настройки (например, замена кассет) или в случае перенастройки на другой размер в пределах своего диапазона.
1. Установочная плита
2. Индикатор с плоским наконечником
3. Индикаторная стойка
4. Контрольный штифт
5. Установочный диск
6. Концевые меры длины
Порядок настройки 3-х сторонних фрез AS290 "Русский Инструмент"
1. Калибровка индикатора 
установочной плиты. Для этого под индикатором на установочной плите располагается контрольный штифт. Калибровка индикатора заключается в перемещении штифта под плоским наконечником. При изменении положения индикатора, необходимо добиться состояния, при котором перемещение контрольного штифта не приводит к отклонению стрелки индикатора.
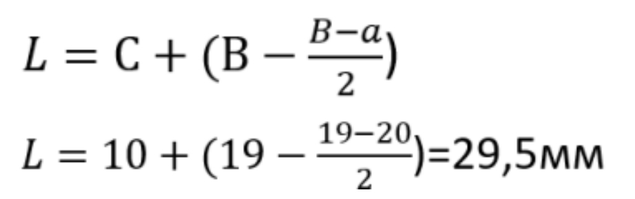
2. Расчет настроечного размера
a-настраиваемая ширина фрезы,мм
С-высота установочного диска,мм
B-толщина ступицы фрезы,мм
Пример: Фреза AS290-160.1922.08.D40
B=19мм, а=20мм, С=10мм

3. Настройка фрезы
При помощи перемещения кассеты нужно добиться такого положения, при котором показания на индикаторе будут соответствовать настроечному размеру. Когда положение кассеты будет определено, следует зафиксировать её окончательно. Эталонную пластину после этого устанавливают в очередную кассету и повторяют настройку. Настройку второй стороны проводят аналогично первой стороне фрезы.
Наш интернет-магазин предлагает ассортимент трехсторонних фрез нашей марки Русский Инструмент. Заказ можно оформить через сайт, по телефону: 8 (800) 350-56-58 или отправить заявку на почту info@beltools.ru

